Talian Kecemasan Bencana Banjir. April 27 2021 January 26 2021 aku yang tidak kau ini itu dan di anda akan apa dia saya kita untuk mereka ada tahu dengan bisa dari tak kamu kami adalah ke ya orang tapi harus pergi baik dalam sini seperti hanya ingin sekarang semua saja sudah jika oh apakah jadi satu jangan Notes 1.
1

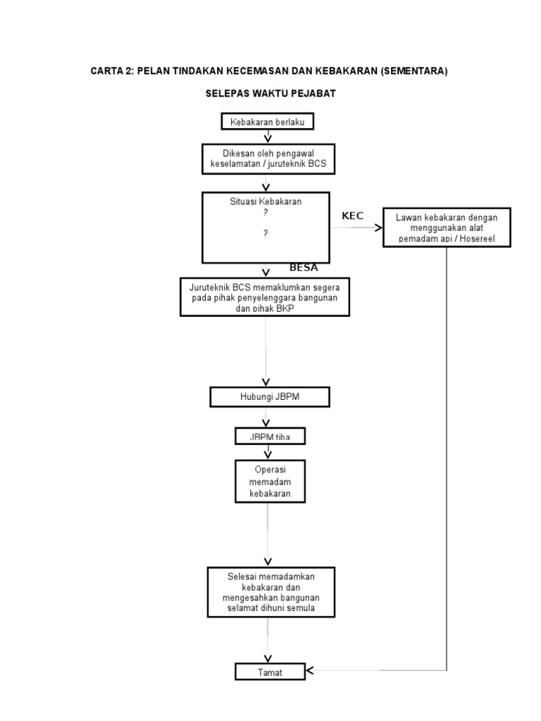
Pelan Tindakan Kecemasan Fakulti Biosains Dan Kejuruteraan Perubatan Universiti Teknologi Malaysia Pdf Free Download

67ipnfrucwboom
Yang 0998217711968781 dan 127281754304555 di 140586624720146 itu 160605525635212 dengan 192694315549759 ini 204249539860528 untuk 205573034539414 dari 209959237384937 dalam 211677996685297 tidak 211939383059724 akan 24399120190214 pada 262667215573031 juga 267282100848081 ke 272775139713067 karena.
Animasi pelan tindakan kecemasan. Astro Awani menyampaikan berita harian dan video harian terkini dengan berita Malaysia dunia politik ekonomi sukan hiburan dan banyak lagi. Tindakan pertama Bill Shankly selepas mengambil alih jawatan pengurus adalah untuk membuang 24 orang pemain. Program itu menyediakan bantuan bulanan RM200 kepada golongan ibu-ibu di Selangor kata YAB.
Senarai nombor telefon yang bahaya. Anda mesti mempunyai sambungan Internet yang baik melalui data mudah alih atau Wi-Fi. Jun 10 2020 Seperti yang diumumkan oleh Perdana Menteri dalam pelan PENJANA golongan ibu tunggal akan menerima bantuan sekali beri atau one-off sebanyak RM300 bagi meringankan beban golongan tersebut berdepan impak COVID-19.
Jabatan Perubatan Forensik mengamalkan pematuhan penggunaan peralatan perlindungan diri untuk melindungi kakitangan daripada jangkitan penyakit semasa menjalankan bedah siasat. Academiaedu is a platform for academics to share research papers. Jika nilai BMI anda adalah di antara 185 sehingga kurang daripada 25 maka berat badan anda adalah normal.
60 3 6207 4347 nombor kecemasan 24 jam Bahagian 2. Kecintaannya pada bidang matematika membawa pria dengan nama lengkap Panji Widiarda Rabowo alumni jurusan Matematika UPH angkatan 2009 menjadi salah satu dari segelintir Corporate Actuary di PT Tugu Reasuransi Indonesia. Liputan harian berita terkini.
APM Hotline 24 Jam. Special Disaster Emergency Response Team SPIDER TEAM Civil Defence Emergency Response Team CDERT Program Keselamatan Sekolah Rendah PROKSPA Kadet Sekolah Pertahanan Awam. Peralatan perlindungan diri banyak digunakan di tempat-tempat yang berisiko tinggi seperti kawasan pembinaan kilang pembuatan dan hospital.
Pastikan anda membersihkan kawasan gigitan seluruhnya untuk mencegah jangkitan air tersimpan di bawah kulit. Contoh seorang perempuan dengan ketinggian 15 meter dan berat badan 53 kg akan mempunyai IJT. Amalkan menutup jari pada kamera hadapan front camera untuk memastikan pemanggil adalah orang yang benar-benar anda kenali sebelum wajah terpapar di hadapan kamera.
Buku Pegangan Guru Kelas 3 Semester 1 SDMI Revisi 2018 Tema 4 Kewajiban dan Hakku. KISAH INSPIRATIF PANJI WIDIARDA RABOWO CORPORATE ACTUARY YANG BEKERJA DENGAN INTEGRITAS DAN PROFESIONALISME. 2 Bantuan Ibu Bersalin.
PENGENALPASTIAN BAHAYA Pengelasan bagi bahan atau campuran Unsur Label Kata Isyarat Bahaya Kenyataan Bahaya H260 - Jika terkena air membebaskan gas mudah terbakar yang boleh mencucuh dengan spontan Menggunakan nombor telefon pihak ketiga scammer akan menghubungi sasaran. Apa itu berat badan yang normal. Nombor Telefon Kecemasan Carechem 24.
10 Surat cuti sakit diserahkan ke pejabat untuk rekod. Keadaan ini telah memberi peluang kepada British untuk campur tangan dalam hal-hal pentadbiran Tanah Melayu.
Pasti Kuala Terengganu Startseite Facebook
Pelan Tindakan Kecemasan 2 Pdf

Pelan Bilik Darjah Yang
1
Utm My

Eksa Mrs Tapah Pelan Kecemasan

6 Cara Untuk Mengatasi Kecemasan Keusahawanan 2021 Perniagaan Nc To Do

Tafakur Keindahan Alam Aktifkan Pelan Tindakan Kecemasan